文/蔡芸琤、謝泓儒
前言
自2021年末起,元宇宙(Metaverse)邁向蓬勃發展,還有許多未知的可能正在逐步實現中,但許多人卻將虛擬實境(Virtual Reality, VR)、擴增實境(Augmented Reality, AR)、混合實境(Mixed Reality, MR)與元宇宙混在一起,甚至認為只要使用到以上實境(VR, AR, MR)就等於元宇宙。但實則不然,實境類的顯示工具,只是元宇宙的呈現方式之一,若無法回到元宇宙的最主要三個特性:「數位分身」、去中心化的「共識性價值體系」、以及「沉浸式體驗」,那元宇宙的實踐與想像就會變得非常狹隘。自2022年起,在課室教學現場,也開始大量使用元宇宙的概念來融入教學活動,因此,為了不讓師生們對元宇宙的認知只停留在「使用到VR、AR、MR就等於元宇宙」,而是要更重視元宇宙的另外兩個特性:「數位分身」與去中心化的「共識性價值體系」。若能將這兩項特性運用得當,將會更容易實現2022年世界經濟論壇(World Economic Forum, WEF)倡議的「教育4.0:以學習者為中心」。本文詳細說明,如何運用「以學習者為主體的教學策略(Human Based Learning, HBL)」,重新定義「教育元宇宙(Education Metaverse)」的特性,並進行深入探討,讓教育4.0能因元宇宙逐步發展的過程,帶來實現的機會,而不只是多了VR、AR、MR融入教學,卻沒具體轉化成以學習者為中心的學習模式。
什麼是元宇宙七層?
根據Jon Radoff在2021年四月提出的元宇宙價值鏈(The Metaverse Value-Chain),首次有實際造出元宇宙相關產品的企業家,提出「元宇宙七層(The Seven Layers of the Metaverse)」的定義(Jon Radoff, 2021)。這七層包含以下七點說明(圖1):
-
體驗(Experience)原文中開頭就提及「Many people think of the metaverse as 3D space that will surround us. But the metaverse is not 3D or 2D, or even necessarily graphical.」這段最重要的結論是,沉浸式體驗不僅僅是沉浸在圖像空間中的體驗,更需要的是了解參與者們如何與虛擬世界及現實世界互動,以及如何造成內容物的增生與交互作用,進而發展成社會沉浸現象(social immersion)。
-
發現(Discovery)是指如何將新的服務或是產品介紹給更多參與者的方法,也可視為一種有效推廣,可因為參與者的加入而創造整體社會價值與思維的改變,甚至是文化的塑形。而目前已經包含的數位及非數位方式,可分為集體推廣(Inbound Marketing)以及推播式推廣(Outbound Marketing),並在這推廣的內容中設計出使參與者願意主動加入互動,並繼續再分享後而引領出的潮流。
-
創作者經濟(Creator economy)元宇宙中的內容創作工具,以提供參與者不只是參與者,而是成為獨立創作者,同時也是分享者及推廣者,並以創作者為主體,平台商轉化為幫助創作者能更專注於服務創作者的受眾,把金流及財務權交給創作者,讓他們可直接向他們的受眾募集創作資金,為創作者提供不需要使用廣告、植入和贊助等傳統方式的一個新機會。
-
空間運算(Spatial computing)除了目前大家認知到的元宇宙使用VR、AR、MR之外,呼應「體驗層」的原文描述「But the metaverse is not 3D or 2D, or even necessarily graphical. 」,只要能將現實世界和虛擬世界結合的技術,以達到數據集成(Data Integration),把不同來源、格式、特點性質的數據,能有機地進行互動、管理進而分析,都是元宇宙的載體。
-
去中心化(Decentralization):是區塊鏈最廣為人知的特性之一,理想中的元宇宙應該要是一個更公平、更透明、權力更為分散、更去中心化的世界。Jon Radoff認為元宇宙不屬於任何人但同時又屬於所有人。
-
人機介面(Human Interface)這不只限於大家認知到的元宇宙使用VR、AR、MR等技術,而是指實現VR、AR、MR技術的設備,例如:VR頭盔。若呼應「體驗層」的原文描述「But the metaverse is not 3D or 2D, or even necessarily graphical.」,那手機、筆電、平板、3D浮影互動裝置、智慧型眼鏡、穿戴裝置等,都屬於實現元宇宙的人機介面設備。
-
基礎建設(Infrastructure)為了要實現上述元宇宙的特性,更快速更普及的網路基礎建設、容量更大的雲端存儲服務、更強大的圖像運算設備、高續航力的耐用電池、微型感知器及微機電系統等,都是屬於基礎建設的範疇。
教育元宇宙
那甚麼是教育元宇宙?就要先思考,哪些是師生能在課室上進行,並發揮出天馬行空及無中生有的意義。因為從元宇宙七層中可看到,第四層到第七層都是由國家、企業、各種不同形式的社群、以及工程師們幫一般人佈建好了,師生們無法透過課室中的教學活動,參與到這段。本文認為在教育圈的現場,可以去努力的,且最能發揮的地方,就是對第一層到第三層的想像及討論,成為參與者、分享者、推廣者、創造者,創造出在基礎建設之後的經濟發展,才是教育能發揮出無可取代的影響力之處。
就像是,高速公路這類的大型公共建設,不太可能是以民間的力量有辦法去負擔高速公路的維運,但是,當高速公路這個基礎建設有了時候,一般的民間物流業、電子商務業、供應鏈就可以蓬勃發展,所以因著基礎建設而發展出來的經濟活動就會是民間企業可以去經營的。
所以,創作者經濟活動是讓老師們思考,要怎麼樣帶著學生探索及發現生活中有趣的事情 可以讓它映射到我們的虛擬世界中,然後以融合第一層與第二層的概念,創造出「體驗式的傳播」。那什麼叫「體驗式的傳播」?舉例來說,如果你買一碗滷肉飯回家,坐在電視前面用餐,只是單純為了吃飽。但如果換成,你找了一群好朋友,在一個舒適的餐廳吃的一碗滷肉飯,你一樣是吃飽,可是那時候照顧的不是只有你的肚子,若在聊天過程中很愉快,你們產生了很多的交談與交流,甚至創造出之後的延續其他合作的可能,在那一場不只是吃滷肉飯的晚餐,你覺得身心愉悅、涵養提升、新價值被探索出來,而不單純只是吃飽,這個就是本文所說的「體驗式的傳播」。以下詳細說明搭載於元宇宙七層的下四層,並抽換上三層,成為教育元宇宙。

圖1. Jon Radoff在2021年四月提出的元宇宙價值鏈(The Metaverse Value-Chain)。
▍ 取自https://medium.com/building-the-metaverse/the-metaverse-value-chain-afcf9e09e3a7
教育元宇宙的體驗式學習:在教育場域,現在已經不能只單純灌輸單向知識(只是單純為了吃飽),而是開始期許,學習是一件能從身心靈全面發展的考量下前進,那就是「體驗式的傳播」。如果透過Jon Radoff定義的元宇宙價值鏈出發的想法,本文所描述的教育元宇宙的想像是,從師生共創一件有趣有意義的作品或專案,這個有趣的事物是這個世界上需要被解決的問題,師生共同去嘗試探索,讓這一連串的變化串聯起來,變成一個有機會讓社會變得更好的解決方案,被貢獻出來,是一個完整的「教育元宇宙的體驗式學習」。
教育元宇宙的探究式學習:因為師生共創與不限時空背景的學習者加入,給予他們充分發表、討論與操作的機會,而創造出學習者的認知行為的改變,進而體會與學習到科學知識、科學態度與科學技能,創造出使用此技能所對應到的應用價值,並繼續再分享後而引領出的潮流。達到從認知、情意、技能出發,走向最終教育元宇宙目標,創造價值。
以學習者為主體的教學策略(Human Based Learning, HBL):以提供學習者不只是學習者,而是成為獨立創作者,同時也是分享者及推廣者,以學習者為主體,老師要轉化為幫助學習者能更專注於透過創作,來獲得認知、情意、技能等基本能力之外,更實現出創作價值,將創作所有權、學習主動權交還給學習者,讓他們可直接透過網路上的區塊鏈平台驗證,現學現賣後的知識技能,可產生的價值是甚麼,幫助學習者能思考學習的意義,找出為何而學的內在動機,進而達到持續學習的高層次思維。
HBL實際案例探討教育元宇宙特性
HBL教學策略分為三個階段(圖2),未來預計以更多七年級至九年級的學生做為實際驗證的受眾。本教案由青山國中謝泓儒老師與師大科技系PecuLab蔡芸琤老師共同設計,並以幻景啟動(Lixel)3D浮影裝置為呈現載體。此實際案例以氣候變遷衝擊下的淹水災害為議題,並帶領學生們深入討論及創作與洪水共存、培養韌性,的永續解方。
圖2. 青山國中謝泓儒老師與師大科技系PecuLab共同設計的HBL教學策略三階段。
一、HBL教學策略三階段步驟
學習者自發性行為:在學生自發性行為大多定義為學習動機,如何引起學習動機為這一階段的主要關鍵,而在此階段的自我覺察,需要利用本文首創的「狩野分析結合李克特量表」之分析來了解學生老師所給的分為不需要、必要的、想要的議題或教學方式。在教學方式也可以緊扣議題來進行探討以及知識內容。
與學習環境中的刺激與互動:了解學生合適的操作方式進行第二階段虛擬世界原宇宙的概念,能在虛擬世界裡任務導向方式去嘗試與熟悉。而在熟悉介面操作之後進行大師作品賞析與萃取元素,在師作品賞析與萃取元素在這兩個小階段裡會因需要找的合適的作品進行萃取,所以會重複以迴圈方式進行找到合適的元素為止,再回扣任務進行解決及創作。
學習者積極參與學習:在學習者參與學習及第一階段學習者的自發性行為有很大的因素,如何達到積極參與學習就要去檢視學習動機是否符合。互動式報告與以往的報告不同,有很大的因素也是因為課堂不同設備的應用,是否因為設備或器材引起學生願意嘗試用這樣的方式進行報告。
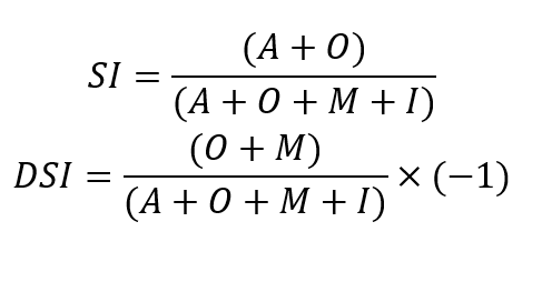
二、「狩野分析結合李克特量表」分析法
狩野分析(KANO Model)是由狩野紀昭教授於1984年所提出,主要是用來分析顧客滿意度,以釐清回答者是否有需要這樣的設計、功能與服務(Sauerwein, E., Bailom, F., Matzler, K., and Hinterhuber, H. H. 1996)。本文將狩野分析結合李克特量表發展出的分析法如下說明。
甲、課程設計對應學生需求類型:
-
M 基本型需求(Must-be)。
-
O 期望型需求(One-dimensional)。
-
A 魅力型需求(Attractive)。
-
I 無差異需求(Indifferent)。
-
R 不需要(Reverse)。
-
Q 有疑問(Questionable)。
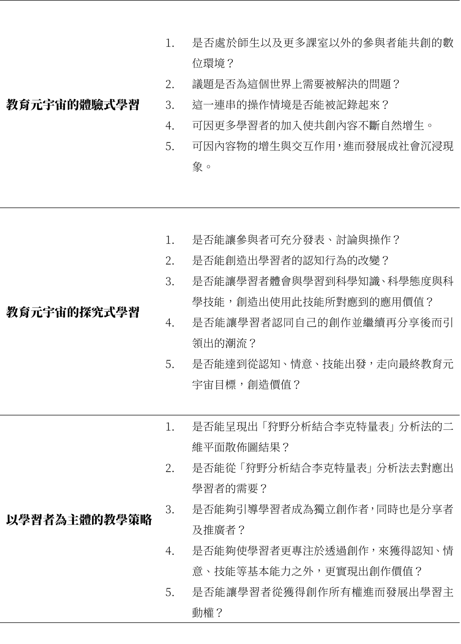
乙、「狩野分析結合李克特量表」分析法計算公式:以下公式計算出的SI及DSI值,投射入「狩野分析結合李克特量表」分析法二維平面中(圖3)進行分析。接下來以青山國中表演藝術課的學生回應進行計算說明。

圖3. 青山國中表演藝術課「狩野分析結合李克特量表」分析法二維平面結果散佈圖。
五個點代表分別使用正向與反向問句去對應五個課程活動,由學生來反映出是否符合他們的想要與需要。這五個課程活動分別為,影片賞析、科技與舞蹈、拍攝微電影、畢業影展競賽。若授課教師想要了解這五項課程活動,是否能回到學生的需要,而不是由老師從學生的學習評量來認定學生的學習成效,才算是踏出以學習者為主體的第一步,其他更多的教育元宇宙問卷的題組,可透過下節(三、「狩野分析結合李克特量表」分析法HBL實際案例探討教育元宇宙特性)的觀察指標來發展,讓師生更清楚知道如何透過教育元宇宙的特性,進行深入探討,讓教育4.0能因元宇宙逐步發展的過程,帶來實現的機會,而不只是多了VR、AR、MR融入教學,卻沒具體轉化成以學習者為中心的學習模式。
問卷題組如下:
從26位學生的回答收到各題組的學生類型需求類型所計算出的SI和DSI如下:
再將Q1至Q5的題組所算出的SI和DSI分別投射至「狩野分析結合李克特量表」分析法二維平面中的散佈圖,就完成了分析結果(圖3)。
三、「狩野分析結合李克特量表」分析法HBL實際案例探討教育元宇宙特性
以氣候變遷衝擊下的淹水災害為議題,並帶領學生們深入討論及創作與洪水共存、培養韌性,的永續解方。為了確認HBL教學策略的三個階段可回應本文所定義的教育元宇宙。設計出以下觀察指標,並搭配「狩野分析結合李克特量表」進行教育元宇宙的特徵確認,以滿足以學習者為主體的教學策略,達到教育4.0以學習者為中心的目標。
結語
2022世界經濟論壇在5月26日落幕,提出「教育4.0」以人為本的復甦倡議,從現在起的教學模式,必須以學習者為中心,善用科技與教學方法創新,幫助學習者有更廣泛的技能,以因應第四次工業革命並擁有適應性及韌性來面對未知的世界(World Economic Forum Insight Report 2022)。
而未知的世界,是由一群充滿想像力與執行力的人共同推動而生的,從Jon Radoff定義的元宇宙價值鏈出發,就能看出,未來的世界可從什麼是宇宙的角度來切入思考,宇宙是個巨大的意識體,代表這個意識體中的各個小單位帶有訊息與信號,可以自由地進行交流與交換。元(Meta)是後設資料(Metadata)的簡稱,就是描述資料的資料。人也是宇宙中的一種單位,從人的想像打造出來可透過訊息交換與交流而創造價值的宇宙,就是元宇宙,也就是已經到來的新世界的首部曲。
因為,教育元宇宙就是「師生能共創出任何可以產生價值交換的思維系統」,即便老師手上沒有VR、AR、MR技術的設備,要使用甚麼樣的呈現方式,由參與者及共創者因地制宜來自行決定,只要能設計符合教育元宇宙精神所提出的教學方案,使學生在進入社會之後,可以獨立自主,成為身而為人所具備的所有能力的學習歷程的體驗,以滿足以學習者為主體的教學策略,達到教育4.0以學習者為中心的目標。就是教育元宇宙的核心價值與發展目標。
本文因受限於刊物字數限制,此篇目前著重於論述如何定義教育元宇宙,提出相關的衡量指標,以示範如何搭配「狩野分析結合李克特量表」進行教育元宇宙的特徵確認,期許引入更寬廣的討論及反思。未來將會持續導入不同的科技工具說明如何應用在教育元宇宙中,包含透過區塊鏈技術實現「數位分身」與去中心化的「共識性價值體系」、更多不同的教育元宇宙教案探討、引導出更多老師有自信參與教育元宇宙的教案設計。
蔡芸琤
PecuLab創辦人
國立臺灣師範大學科技應用與人力發展學系教師
謝泓儒
新北市汐止區青山國民中小學生活科技教師
參考文獻
[1] Jon Radoff (2021). The Metaverse Value-Chain. Online URL: https://medium.com/building-the-metaverse/the-metaverse-value-chain-afcf9e09e3a7.
[2] Sauerwein, E., Bailom, F., Matzler, K., and Hinterhuber, H. H. (1996). The Kano model: How to delight your customers. The International working seminar on production economics (Vol. 1, No. 4, pp. 313-327).
[3] World Economic Forum Insight Report (2022). Catalysing Education 4.0: Investing in the Future of Learning for a Human-Centric Recovery. Online URL: https://www3.weforum.org/docs/WEF_Catalysing_Education_4.0_2022.pdf?fbclid=IwAR0ISnoB-ss29zuUJIPp9xHVptRhiEzmKSugauti0nhUCDaUjMnRkImHloA&fs=e&s=cl.
本文引用格式:蔡芸琤、謝泓儒(2022)。運用以學習者為主體的教學策略探討教育元宇宙特性。科學研習,61(6),13-21。