| 1 香菇粥記事 |
| 前幾天開完每周例會後,幾位有事的人先行告退。剩下我們五人,無意間踱入了附近的一家香菇粥店進中餐。這家店小小的,座位不多,菜色也單純,主食和小菜只有如下的選擇:
|

我們三女二男各點了一碗香姑粥,女小男大,又合起來點了所有小菜各一盤,吃得十分過癮。吃完有人問總共多少錢時,馬上有人回答說 500 元有找,確實點是可找回 45 元。大家都很驚訝, A 先生怎能算得這麼快?他開玩笑說,因為這是小攤的,他想搶先付帳,以後大攤的再換別人請客。說完,他拿出一張 500 元大鈔到櫃檯,果然找回 45 元。
大家雖然懊惱被他搶去這麼好的請客機會(好吃又便宜),還是客氣地謝了他 • 有人認真的請他把心算過程說一下,他解釋算法如下:如果每人都點大碗的粥,則皆為 45 元;把炸豆腐的 25 元五等分後,補每人 5 元就是 50 元;再把剩下小菜每人分一盤,合起來每人 100 元,五人總共 500 元。這就是他的第一句話, 500元有找。找多少呢?因為三位女士都只點了小碗的粥,每碗比大碗的少 15 元,故要找回 15 元 x3 一 45 元。
聽他講完,大家都稱讚他算得巧。他客氣的說,是價錢定得好,才容易湊 100 元,硬算也沒那麼難。講老實話,肯花點心思,講究巧妙的算法是值得鼓勵的。我們都是退休的數學老師,既然有人提到數學,大家自然往這方面動腦筋,小吃店的食物有什麼可和數學扯上關係呢?討論後找到兩個項目,如下:
|
1.這家店一天有多少收入?賺錢嗎?
2.大碗粥和小碗粥的價錢是 3 : 2 但其份量是否按此比例呢?
|
|
我們決定先玩第 1 個項目。這種估計需要一些數據,其中一樣是客人的數目,這又和營業時間(段)有關係,若想長期調查至少得做一個月或一星期的觀察記錄,才能評估利弊,遂找機會和老闆聊上幾句話,以了解詳情。
「生意不錯啊,我們剛才等了好一會兒,才坐得進來。」「勉強啦,承蒙照顧。你們人多,最起碼得有一張桌子,只好找散客挪一下,不那麼容易,害你們久等,真不好意思。」
「你們東西新鮮好吃,值得等的。」謝謝。小店就靠客人吃得順口,下次會再來捧場。」「是不是每天都這麼多客人?我們剛才快一點才來,應該是第三輪客人了嘛,還是坐得滿滿的。晚餐應該也一樣吧!「不,我們最主要的客群是上午來附近市場買菜的主婦,每人一小碗粥,一盤小菜,人很擠的,一直到 11 點才退。中午靠附近的上班族,人數還好。晚上則有放學的學生,回家前先填一下肚子,我們傍晚 7 點半就關門打烊了」
從以上的對話看來,我們知道早餐比午餐的三輪客人要多得多,晚餐則比午餐少。由於這是概略描述,我們得做些較精準的假設,譬如說,午餐三輪,早餐(因為時問長)六輪,晚餐一輪,外帶的一輪。一輪客人有多少呢?這家小店坐滿時 36 人,但任何時候都不可能完全坐滿,故我們將一輪客人定義為 32 人。如此,客人數就約為 32 人 × ( 6 + 3+ 1 +1 ) =32x11大約350 人。
假設每人的平均消費額是 35 +50 = 85 ,則此店每天的總營收大概是 85 × 350 = 29750 元大約 3 萬元。利潤大約是多少?又該如何估算?利潤就是營收扣去成本,成本分直接和問接成本兩類。直接成本就是材料費(包含噸、醋等調味料),加上清洗、烹調的人工(這裡當然包含廚師手藝之評價),照呼客人和上菜的店員(人員方面看起來全部由這對夫婦包辦了,故這裡就是他們兩人的薪水)。間接成本含店面租金(這裡接近市場及學校,雖面積不大,但四萬元跑不掉),設備(廚具、桌椅、碗然,此店蠻簡陋)、水電、保險和營業稅等。
這樣算下去,真是沒完沒了。故一般商業上不這樣算,而是將營收直接乘上各行業的利潤函數。照筆者知道,像這樣有店面的小吃館,利潤應該是三到四成,低估點也有二成五, 3 萬元 x25 % = 7500 元。每天純賺 7500元,一個月也有 20 萬出頭,算是很不錯的小生意了。
|
| 2 二大三小碗 |
現在,其他客人全都離聞了,只剩下我們這群客人。老闆夫婦一方面在清理中餐的碗盤,一方面在準備晚餐的食材。我們早先曾經向老闆表白,希望在店裡稍微休息,得到允諾,所以能在店裡討論第二道數學問題,即大碗和小碗香姑粥的價錢比既然是 3 比 2 ,它們的份量比是否也一樣?答案有三種可能的選項:兩大碗和三小碗份量相等、兩大碗多過三小碗,以及兩大碗少於三小碗。親愛的讀者,你選哪樣?想想看!
這是很容易具體驗證的,但有人要求在驗證前,每人先想個理由,挑個選項後再實驗求證。結果為兩位女士選擇相等,理由是這樣比較合理;兩位男士認為兩大碗的份量應多過三小碗的份量,理由是一般的商業行為都是「買少量稍貴,大量買較便宜」;唯有一位 B 女士獨排眾議,說兩大碗合起來會少於三小碗的總和,理由是老闆會為了顧客的健康,不讓好吃的胖子(五人中只我一個胖,顯然指我吃相難看)吃那麼多。大家都為了這種說法笑了出來。
老闆娘收拾好東西,已經離店到隔壁大樓的住處休息了。老闆隔我們一張桌上坐著,大概等我們離開,好早點休息。聽到 B 女士的論點,他也不禁笑出聲來。我們問他,會這樣嗎?他說不會,因為他相信他賣的東西都是健康的,若是他認為不健康,他絕不會賣。他說你們這批客人是他見過最好玩的,他早就準備好兩大一小的容器,好讓我們做實驗。
此店用來盛粥的容器是紙做的,底部稍為縮小的圓柱狀筒子,形如右圖,數學裡稱之為圓平台。我們向老闆要水,三次裝滿小圓筒,小心倒入兩個大圓筒,結果剛好相等。選擇相等的兩位女士大呼勝利。老闆也說,他認為如此才公平,所以特別設計後去訂做的,不是市面上隨便買的。
這時 B 女士說且慢,他問老闆,他盛粥時容器是否都裝滿?老闆說,這是不可能的,因為盛滿不好拿,一不小就會倒出來,故粥面都會比碗的邊沿低約 0 . 8 公分。B 女士說,現在有變數了吧。
實驗重做!這次的實驗由老闆親自操刀,因為只有他能捏扭得住粥面的高度 • 剛才我們做實驗時,捧小碗時是雙手在碗的外面。這次老闆左手的大姆指,是扣在小碗內側的,他說這是他插粥進碗的習慣資勢,粥面一定不會碰到姆指尖的。在他的慎重實驗下,我們實在看不出有什麼差異。或者可以這麼說,差異不是我們肉眼可以辨識的程度。
對老闆而言,他已經滿意了。但對我們,這等於沒結果。有人說,這正是需要數學精算的時候,但若用圓柱形的體積來計算,誤差可能比老闆的實驗還要來得大。我說,我知道圓平台的體積公式。大家都問是如何的?我於是畫出右圖並寫出下式(參看圖 2 中字母 A , B , H 之意義) :
我們正要討論這個公式時,老闆說:「對不起,我們要休息了。謝過他後,我們決定到附近的咖啡館繼續討論。等大家都拿到飲料,坐下來之後,又搶到付帳的 A 先生說:「這個式子怎麼這樣奇怪,還除以 3 。A 和 B 是上、下底的面積這可以理解,因為相應於梯形的面積公式中的上底和下底。但為什麼有個 ,太複雜了。」
我解釋說:「面積是 2 維的,故梯形面積要除以 2 :體積是 3 維的,因此要除以 3 ,這和圓錐體積公式有 1/3 是一樣的。事實上,若將三角形和平行四邊形(含長方形)看成為梯形特例(三角形上底為 0 ,平行四邊形的上、下底等長),它們的面積計算都適用梯形公式。同理,把圓錐和圓柱視為圓平台的特例(錐餿的上底面積為 0 , 柱體的上、下底面積相等),則三則公式是完全一樣的。除以 2 時要有兩個長度量來做平均,再乘以高才得到梯形面積:圓平台的體積會除以 3 ,表示需要有 3 個面積量做平均,但除上、下底的面積外,並沒有其他的面積量可以用,故只好將上、下底面積的幾何平均做為第三個面積量,公式才會變成這樣。」
B 女士說:「你說得頭頭是道,但數學公式都是如此造出來的嗎?我說:「對不起,我剛才只是解釋公式各項的意義。要導出此公式有兩種方式,一是用積分,另一種是高中學生能做的式子運算,都可以導出同樣的公式。」 C 女士插嘴說:「慢一點,我們現在的要務不是討論這條公式是怎樣導出來的,而是要討論此公式能否幫我們分辨二大碗和三小碗是否份量相等的問題。」 D 女士說:「 C 姐不用急, B 姐的顧慮也是對的,若這條公式不對,用它做為討論的基礎也沒用。」於是大家要我先導出此公式。
|
| 3 公式有用嗎? |
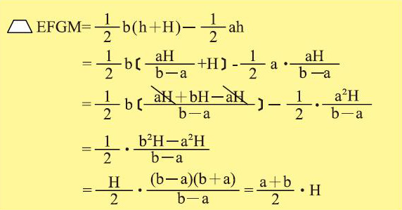
由於他們都是中、小學老師,早就忘了微積分,所以要求我用高中方法導公式。我告訴他們,方法過程和用三角形面積公式導梯形公式是一樣的,但不是一般課本上的方式。我先畫了個梯形 EFGM,如圖 3 ,並將兩側邊延長相交於 O 點,如此我們得到了兩個三角形, △ OEF 與 △ OMG 。由 O 向 EF 作垂線,並延長變成 MG 上的垂線(為什麼?想想看)。 設 △ OEF 的高為 h ,而梯形的高為 H ,EF= a , MG= b ,則梯形面積為
為了簡化上式,並消去不應該在公式中出現之文字參數 h ,我們得找關係。由 △ OEF 和 △ OMG 相似,可得

此式代入上面梯形 EFGM 的面積計算式可得

模仿上面的做法,我先畫了個圓平台的圖,如圖 4 。假設上底圓的半徑是 r ’下底圓的半徑為 R ,則 A 二斤πr2, B=πR2 。延伸圓平台的側面,交於一點 O ,形成兩個圓錐體,都以 O 為尖點,小圓錐以上底圓為底部,大圓錐以下底圓為底部”連接 O 和上底圓心 P ,並延伸到下底圓的圓心 Q ,得到兩圓錐的高。設 OP =h , PQ =H ,則圓平台的體積 V 可以計算如下:

為簡化上式,並消去不該在公式巾出現的文字參數 h ,我們需要利用一些關係,弄出一些式子。 △ OMP 相似於 △ ONQ 給出比例式:

代入上面圓平台體積V的計算是可得

導出公式後,大家都覺得很神奇,導出的過程竟然並不困難。有人問,為什麼以前沒見過此公式,這樣單純的公式為什麼不在中學數學教科書中出現?我說,它其實沒那麼重要,不知道也沒什麼。有人建議,這公式的導引過程,應做為高中數學教材中,式子運算這部分的練習題,這當然是高中數學教科書作者的選擇。我們接著要看看,這個公式能否幫助我們分辨二大、三小碗之間誰大、誰小的問題。
看看這個公式,大家都面有難色,因為公式中有個大家不習慣操弄的根號“ ”。 A 先生提議說:「讓我們把兩個式子寫出來看看”」 C 女士說,用英文大寫字母代表大的圓平台(碗),小寫字母代表小的。大家也都接受,於是有了下面的關係式。

當粥面低於碗面0.8公分時問題成為

問題式子中的 B ‘和 b ‘,是因為高變小後下(大的)底 B 和 b 會變小,故用不同文字代替。但這樣一來,變數增多,推論遂變得不可行。 B 女士怪我說:「若不是教授弄出這麼複雜的公式,我們本來是有機會利用圓柱體的公式做些推論的。」真是這樣嗎? D 女士提議模仿上面的方法,寫出式子如下:

這個問題能由前面的關係是推論而得到結果嗎?
B女士說,當然,因為 ,在此式中,由於 H > h ,故有 。大家都稱讚她,推論巧妙,真酷! B 女士說,由此推論知道,複雜的式子是不太有用的。 A 先生說,照你的上述推論,我們也得到,粥面低於碗面 0 . 8 公分時,兩大碗的總和,還是大於三小碗的結論。三位女士一致反對,說那是誤用公式的結果。親愛的讀者,你同意嗎? |